由于高光谱分辨率资料在不同高度对卫星通道的敏感性不同,本研究以信息容量为指标,进行通道选择的改进,提出了基于分层情况下高光谱大气红外探测器AIRS合理有效的通道选择方案和方法,结果表明:(1)本研究改进的方法得到的大气可反演指标更加稳定,其取值可达0.54。温度权函数的分布较为连续且与实际大气更接近;(2)统计反演对比试验表明:除近地面外,本研究改进的通道选择方法反演的温度与1Dvar的通道组合反演的温度一致,但在10hPa-0.02hPa的临近空间高度,改进后选择的通道明显优于欧洲数值预报中心1Dvar选择的通道达1K左右;(3)利用AIRS实测资料的统计反演的对比实验表明,本文改进的通道选择明显优于1Dvar和改进前不考虑分层所选择的通道,特别在1hPa以上,大气温度标准差可以优化1-2K。本研究的方法具有很好的应用价值。

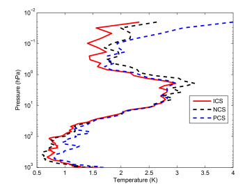
图1 统计反演实验的温度廓线标准差;红线表示ICS的结果,黑虚线表示NCS的结果,蓝点线表示PCS的结果.
ICS 是本方法改进后的通道选择,PCS是改进前的通道选择,NCS是欧洲数值中心的通道选择,通过改进后的通道选择方法(ICS)的温度反演精度在上对流层-平流层有所提高,尤其是在平流层的温度反演。
论文链接
:
Chang, S., Sheng, Z. *, Du, H., Ge, W., and Zhang, W.: A channel selection method for hyperspectral atmospheric infrared sounders based on layering, Atmospheric Measurement Techniques, 13(2), 629-644 , 2020.